Sóng hài là gì?
Có một số thiết bị điện có đặc tính làm việc phi tuyến, tức là ngay cả khi điện áp đặt vào có bản chất là hình sin, thì dòng điện do thiết bị tạo ra có bản chất không phải là hình sin. Các thiết bị phi tuyến này được sử dụng trong các mạch phân phối điện tạo ra dòng điện phi tuyến và sau đó gây ra biến dạng điện áp. Các dòng điện và điện áp phi tuyến này thường được gọi là dòng điện và điện áp hài.
Sự gia tăng của các thiết bị đóng cắt điện tử trong các thiết bị hiện đại đã làm gia tăng đáng kể lượng ô nhiễm sóng hài trong hệ thống phân phối điện. Những sóng hài này nếu bị bỏ qua hoặc không được phát hiện có thể gây ra tình trạng cộng hưởng sóng hài, có thể gây ra các vấn đề vận hành hệ thống dẫn đến khiếu nại từ khách hàng và giảm tuổi thọ của thiết bị điện cũng như giảm hiệu suất và hiệu suất. Dòng điện và điện áp hài có thể gây ra nhiều tác động bất lợi cho chính hệ thống điện và các phụ tải được kết nối. Trục trặc thiết bị điện tử, hỏng tụ điện, biến áp và dây dẫn trung tính quá nóng, quá nhiệt trong máy móc đang quay là một số trong những ảnh hưởng này.
Dòng điện hài được tạo ra bởi các tải phi tuyến tính như
Đèn LED và đèn CFL,
Bộ cấp nguồn chế độ chuyển đổi (SMPS) (máy tính, PLC),
Bộ truyền động tần số biến đổi được sử dụng với động cơ
UPS
Lò hồ quang & bộ điều khiển nhiệt độ SCR Bộ sạc pin & Bộ chỉnh lưu
Tác động của sóng hài
A. Với hệ thống lưới điện
- Giảm hiệu suất sản xuất, truyền tải và sử dụng điện
- Lão hóa các bộ phận của nhà máy điện được lắp đặt và rút ngắn thời gian sử dụng của chúng
- Giảm khả năng truyền công suất (kW) thông qua cơ sở hạ tầng T&D và máy biến áp hiện có
- Quá tải, quá nhiệt và hỏng tụ hiệu chỉnh hệ số công suất, máy biến áp phân phối và dây trung tính.
- Sóng hài dẫn đến giảm công suất và tiêu thụ nhiên liệu cao hơn đối với Bộ DG hoặc Nhà máy điện chủ lực
b. Phía khách hàng
- Quá nhiệt của máy biến áp, động cơ và cáp
- Giảm công suất khả dụng của máy biến áp và thiết bị đóng cắt
- Dòng trung tính dư thừa
- Hệ số công suất tụ điện hỏng
- Hoạt động giả của cầu chì, cầu dao và thiết bị bảo vệ khác
- Tăng sự hỏng hóc của các thiết bị điện tử
- Giới hạn công suất trên máy phát điện dự phòng và hệ thống UPS
- Tổn thất cao hơn trong máy biến áp, động cơ, cáp dẫn đến hóa đơn tiền điện cao hơn
C. Hệ số công suất
Hệ số công suất thực là sản phẩm của hệ số công suất dịch chuyển & biến dạng. Nếu biến dạng hài trong hệ thống nhiều hơn thì hệ số công suất thực không thể được cải thiện chỉ bằng các tụ điện hiệu chỉnh hệ số công suất. Điều này có thể dẫn đến hình phạt hệ số công suất, mất ưu đãi hệ số công suất và thanh toán tiền điện cao hơn ở các địa điểm có thanh toán KVAh.
Các quy chuẩn về nghiên cứu sóng hài
Nội dung sóng hài thay đổi từ cài đặt này sang cài đặt khác. Điều này dựa trên loại phụ tải cũng như vị trí của các phụ tải trong hệ thống phân phối điện. Phải tiến hành đánh giá chất lượng điện thích hợp của địa điểm để hiểu các mức độ méo hài về dòng điện và điện áp. Đánh giá điển hình sẽ ghi lại các thông số sau để giúp đề xuất giải pháp phù hợp để giảm sóng hài.
Tiêu chuẩn tham chiếu cho nghiên cứu sóng hài
Giới hạn cho dòng điện hài vào nguồn lưới được quy định bởi các tiêu chuẩn như
IEEE Std. 519-1992: Các yêu cầu và thực hành được đề xuất của IEEE đối với việc điều khiển sóng hài trong hệ thống điện
Bộ Điện lực (Cơ quan Điện lực Trung ương) Số thông báo: 12 / X / STD (CONN) / GM / CEA (21-02-07)
Quy định của Cơ quan Điện lực Trung ương (Tiêu chuẩn kỹ thuật về kết nối với lưới điện), 2007
Phần IV: Tiêu chuẩn kết nối lưới áp dụng cho Hệ thống phân phối và Người tiêu dùng số lượng lớn

Hình 2 Giới hạn sóng hài theo IEEE 519
Mục đích của IEEE để chỉ định các giới hạn này là:
Hạn chế việc tiêm dòng điện hài từ khách hàng để không gây ra hiện tượng méo điện áp trên nguồn điện lưới
Hạn chế sự biến dạng điện áp hài tổng thể của điện áp nguồn do nhà cung cấp điện cung cấp
Các giới hạn này được thiết kế để áp dụng tại điểm kết nối chung giữa khách hàng và nguồn điện lưới
Các giới hạn sóng hài được chỉ định dựa trên
Tỷ lệ Isc / IL
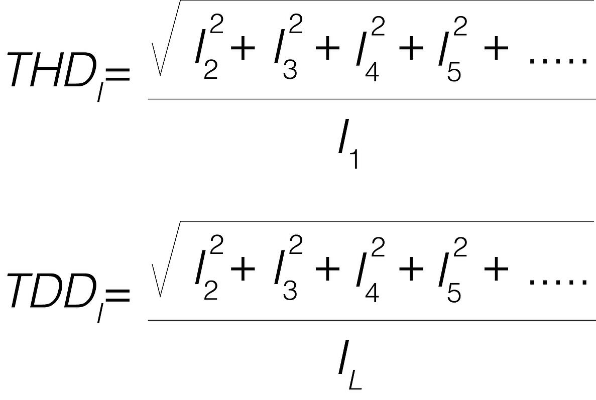
Tổng độ méo cầu (TDD)
một. PCC - Điểm ghép nối chung
Điểm Khớp nối Chung (PCC) với giao diện người tiêu dùng / tiện ích là điểm gần nhất ở phía tiện ích của dịch vụ của khách hàng nơi một khách hàng tiện ích khác đang hoặc có thể được cung cấp.
b. Tỷ lệ Isc / IL
Isc là dòng ngắn mạch tối đa tại PCC, về cơ bản là dòng ngắn mạch ba pha bắt vít và IL là dòng tải nhu cầu lớn nhất tại PCC. Giá trị dòng điện nhu cầu tối đa này được thiết lập tại điểm kết nối chung và phải được coi là tổng của dòng điện tương ứng với nhu cầu lớn nhất đo được trong công tơ điện trong mỗi mười hai tháng trước đó chia cho 12.
c. TDD – Tổng cầu méo mó
Tổng méo nhu cầu (TDD) gần giống với tổng méo hài (THD). THD được tính toán dựa trên nội dung tạm thời của dòng điện hài so với dòng điện cơ bản tạm thời trong khi Tổng méo cầu (TDD) được tính toán dựa trên nội dung tạm thời của dòng điện hài so với dòng tải nhu cầu tối đa tại PCC

Nguyên tắc kết nối của bộ lọc sóng hài chủ động Elecnova
Bộ lọc sóng hài chủ động AHF - Elecnova Việt Nam là giải pháp đã được chứng minh để cung cấp dòng sóng hài theo yêu cầu của tải phi tuyến và đã được chứng minh là có hiệu quả cho các ứng dụng trong các ngành công nghiệp để giúp khách hàng đáp ứng các hướng dẫn của IEEE và CEA. Bộ lọc sóng hài chủ động được kết nối song song (shunt) với từng dây dẫn trong số ba pha của hệ thống điện 3 pha, 3 pha, 4 dây.
Bộ lọc tích cực hay còn gọi Bộ lọc sóng hài chủ động AHF - Elecnova Việt Nam phải phù hợp để đấu nối tại bảng phân phối điện, máy biến áp thứ cấp hoặc ở tải riêng lẻ. AHF sẽ được lắp đặt song song với các tải tạo sóng hài. CT được kết nối với hệ thống phân phối phải đo dòng điện được tải bởi tải và phải cấp dòng điện bù vào hệ thống dựa trên dòng điện thực tế cho biên độ và thứ tự hài, có biên độ và thứ tự hài riêng chính xác bằng dòng điện được vẽ bởi tải, nhưng lệch pha 180 độ với nó. Vì vậy, các dòng điện hài bị hủy bỏ.


Kết luận
Bằng cách cài đặt Bộ lọc sóng hài chủ động AHF - Elecnova Việt Nam, khách hàng đã được hưởng lợi bởi:
- Giảm tổng độ méo sóng hài được đưa vào lưới điện do đó tránh được bất kỳ tiền phạt nào trong tương lai bởi EVN đánh trên giới hạn THD (thông tư 39 bộ công thương)
- Giảm tiếng ồn vo ve ở tủ tụ điện và sự cố của nó
- Cải thiện hệ số công suất thực
- Giảm tổn thất máy biến áp phân phối
- Cải thiện hệ số công suất thực
Hãy liên hệ Elecnova Việt Nam để nhận tư vấ tốt nhất cho Bộ lọc sóng hài chủ động AHF - Elecnova Việt Nam